Simulation Pythonprojekt - Systembeispiele

Software zur Simulatio

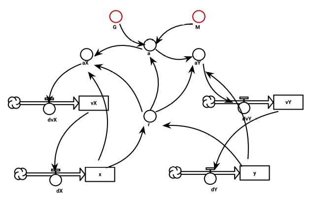
Modell zur Planetenbewegung Ein Modell zur Planetenbewegung

Speziell für den Fortbildungskurs