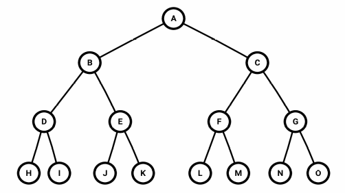
Bei der Tiefensuche wird der Suchraum so abgesucht, dass zuerst in die Tiefe gegangen wird.
Die hier betrachtete Breitensuche untersucht zuerst alle Alternativen einer Ebene, bevor weiter
in die Tiefe gegangen wird. Aber: Auch die Breitensuche arbeitet brute force.
Das Material zum Kurs ist abschnittsweise, auf mehrere Seiten verteilt abgelegt.
Die mit Python entwickelte Software zum Erstellen von Graphen finden Sie im Abschnitt zur Software.
Programmierumgebung: Racket